Telefon
0436 216 0025
Menu
Ana Sayfa
KURUMSAL
Hakkımızda
Hizmet Standartları
Öncelikli Hastalar
KADROMUZ
Aile Hekimlerimiz
Aile Sağlığı Çalışanlarımız
Yardımcı Personellerimiz
DOSYALAR
ASM Talimatları
Yararlı Dosyalar
İlk Yardım
Sigaranın Zararları
Tüm Dosya Liste
SAĞLIK ÜZERİNE
Bebeğinizin Aşı Takvimi
Persentil Eğrisi
Kız Çocuklar İçin Persentil Tablosu
Erkek Çocuklar İçin Persentil Tablosu
GEBELİK DÖNEMİ
YENİDOĞAN
BAĞLANTILAR
T.C. Sağlık Bakanlığı
Muş Valiliği
Muş Sağlık Müdürlüğü
Tahlil Sonuçları
Aile Hekimim Kim
MHRS Randevu Al
DUYURULAR
GALERİ
İLETİŞİM
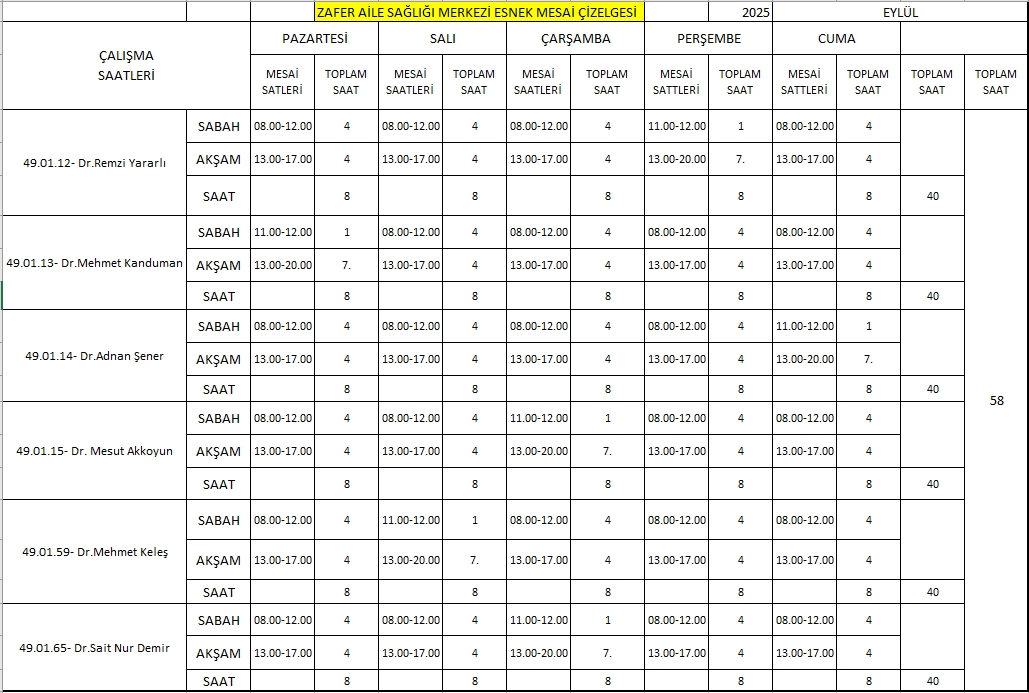
Çalışma Saatlerimiz
Ana Sayfa
/
Sayfalar
/
Çalışma Saatlerimiz
Scroll